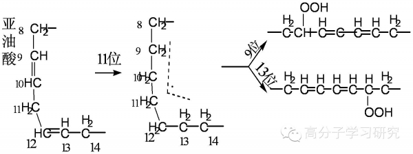
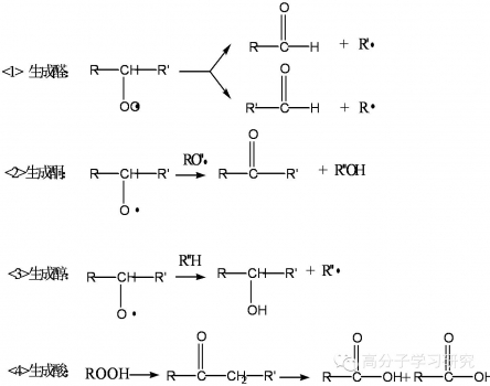
油脂自動氧化是典型的游離基反應。此反應分為三個階段:鏈的引發期、增殖期和鏈的終止。 1.引發期:少量脂肪被光、熱或金屬催化劑等活化,使其雙鍵相鄰的亞甲基碳原子有一個H原子被解離,形成不穩定的游離基。 2.增殖期:當有O2存在時,游離基可與O2結合生成過氧化物游離基;此過氧化物游離基又與一個脂肪分子反應生成氫氧化物ROOH和游離基R。 3.終止期:當游離基與游離基結合,或游離基與游離基失活劑結合,產生穩定的化合物時,反應終止。 過氧化物是油脂氧化的第一中間產物,本身并無異味,因此感官上尚無酸敗的特征,但已有過高的過氧化值(POV),此時生成的氫過氧化物不穩定,達到一定濃度時就轉變成醛、酮等異味物質。 (二)氫過氧化物的生成和它的結構 自動氧化生成的氫過氧化物的結構與其底物不飽和脂肪酸的結構有關,生成游離基時所裂解的H是與雙鍵相連的-CH2-上的氫,然后O2進攻連接在雙鍵上的α碳原子并生成相應的氫過氧化物: 油酸分子中8位、11位碳原子上的H活潑性相同故可以生成兩個不同的游離基并有四種氫過氧化物生成。 亞油酸由于1l位氫特別活潑所以只有一種游離基生成并生成兩種氫過氧化物 有三個雙鍵的亞麻酸除了生成與上述相同的氫過氧化物外,還可以生成環過氧化物: ?。ㄈ溥^氧化物的裂解 油脂自動氧化生成的氫過氧化物再分解生成各種物質,其中揮發性物質是油脂酸敗后產生的特殊氣味的主要成分。 氫過氧化物的分解主要有1.烷氧游離基的生成,2.醛、酮、酸、醇的生成,3.丙二醛的生成。 1.烷氧游離基的生成 2.醛、酮、酸、醇等化合物的生成 3.丙二醛(MDA)的生成:油脂氧化后生成的丙二醛對食品風味產生不良的影響,還與食品或生物體內的蛋白質反應生成席夫堿(Schiff base),對人體有害。丙二醛可以從不飽和醛的進一步氧化產生: 不飽和醛可以進一步氧化成相應的酸,多聚或縮合生成新的化合物,例如己醛三聚生成三戊基三啞烷,具有強烈的氣味: (四)影響自動氧化的因素(8個) 1.脂肪酸的性質: (1)不飽和脂肪酸的自動氧化速度與其雙鍵數目 有關,一般是雙鍵數目越多氧化速度愈快,花生四烯酸、亞麻酸、亞油酸、油酸的相對氧化速率為40:20:10:1; ?。?)順式構型的不飽和脂肪酸比反式的活潑,共軛雙鍵比非共軛雙鍵活潑。 2.氧分壓:隨氧分壓增大而增加,但氧分壓達到一定程度時與氧分壓無關。氧分壓對氧化速度的影響還受到了溫度、表面積的影響。 3.溫度:氧化速度一般隨溫度的升高而增大,但溫度的增加對氧分壓的影響較大,因為高溫時氧的溶解性減小。 4.表面積:氧化速度與油脂暴露于空氣中的表面積成正比。 5.水分:(1)在干燥食品中水分含量低(aw<0.1)油脂暴露于空氣中,氧化速度較快;(2)當aw=0.3時,由于單層吸附水的保護,氧化速度減??;(3)水活度較高(aw=0.55~0.85),油脂的氧化速度大為增加。 6.催化劑:許多多價態過渡金屬元素如Fe、Cu、Cr、Ni、Mn等,微量時就可明顯地增加油脂自動氧化速度,縮短其誘導期。金屬元素對油脂的氧化有幾種不同的機制(見后圖)。 金屬元素對油脂的氧化有幾種不同的機制 ?、偌铀贇溥^氧化物的分解,并生成新的游離基: ②與未氧化的底物直接反應并生成游離基: ?、奂せ钛醴肿邮怪蔀閱沃貞B氧[‘O2]或氫過氧游離基: 多數油脂中存在著微量的重金屬元素,它們或來源油料作物本身和所種植的土壤,或來自于動物組織,或來自于加工、貯藏所用的金屬設備,如肉類中所含的肌紅蛋白、血紅蛋白中的血紅素,以游離或結合形式存在的重金屬元素,它們對食品中油脂的氧化起著促進作用。 7.輻射能:可見光、紫外線或γ一射線均對油脂的氧化起著明顯的促進作用。 8.抗氧化劑:一些物質能夠延緩油脂的氧化,這些物質稱之為抗氧化劑,其詳細機理以后再討論。 觀點: 馬博士: 催化劑:許多多價態過渡金屬元素如Fe、Cu、Cr、Ni、Mn等,微量時就可明顯地增加油脂自動氧化速度,縮短其誘導期。氧化產生的小分子醛跟甲醛一樣,而丙二醛是比甲醛更強的交聯劑,能讓蛋白質、酶、核酸等交聯聚合失去活性。直接降低飼料蛋白質消化率、損傷消化道。吸收后損傷內臟和體細胞。脂肪肝和黃膘肉的罪魁。 抗氧劑對過渡金屬催化的油脂氧化無效。 |




